VHDL의 조합 논리 회로 설계 및 동시 코딩
조합 논리 회로는 논리 연산자와 VHDL 문을 사용하여 구현할 수 있습니다. 논리 회로 구현에서 조건식을 사용할 수 있는 경우 VHDL 문 when 및 select가 구현에 사용됩니다. 조합 회로는 동시 코드를 통해 구현됩니다.
"when" 및 "select" 문
VHDL 문 when 및 select는 동시 VHDL 코드에서 사용할 수 있습니다. 이러한 명령문은 순차, 즉, 클록된 프로그램 단위에서 사용되지 않습니다.
조합 회로의 구현을 선택할 때 VHDL 문을 사용할 수 있습니다. 이러한 명령문은 논리 회로의 조건부 구현에 사용됩니다. when 문의 구문은 다음과 같습니다.
<signal object> <= <statement> when <condition> else
<statement> when <condition> else
…
<statement> when <condition> else
<statement>;
when 및 select 문은 서로 유사합니다. 구현 구문만 다릅니다. select 문의 구문은 다음과 같습니다.
with <condition> select
<signal object> <= <statement> when <condition>,
<statement> when <condition>,
…
<statement> when others;
다음 예제는 논리 연산자를 사용하여 부울 함수 f(x, y, z) = x'y' + y'z를 구현합니다.
부울 함수 f(x, y, z) = x'y' + y'z는 다음을 사용하여 구현할 수 있습니다.
f <= (not(x) 및 not(y)) 또는 (not(y) 및 z)와 같은 논리 연산자
부울 함수 f(x, y, z) = x'y' + y'z를 구현하는 VHDL 프로그램은 다음과 같습니다.
entity f_function is
port(
x, y, z: in bit;
f: out bit );
end entity;
architecture logic_flow of f_function is
begin
f<=(not(x) and not(y)) or (not(y) and z);
end architecture;
다음은 부울함수의 진리표를 보여주고 있습니다.
| x | y | z | f (x, y, z) |
| 0 | 0 | 0 | 1 |
| 0 | 0 | 1 | 1 |
| 0 | 1 | 0 | 0 |
| 0 | 1 | 1 | 0 |
| 1 | 0 | 0 | 0 |
| 1 | 0 | 1 | 1 |
| 1 | 1 | 0 | 0 |
| 1 | 1 | 1 | 0 |
when과 with문을 사용하여 부울함수를 VHDL로 프로그램하면 다음과 같습니다.
f <= ‘1’ when(x = ‘0’ and y = ‘0’ and z = ‘0’) else
‘1’ when(x = ‘0’ and y = ‘0’ and z = ‘1’) else
‘1’ when(x = ‘1’ and y = ‘0’ and z = ‘1’) else
‘0’
with(x&y&z) select
f <= ‘1’ when “000”,
‘1’ when “001”,
‘1’ when “101”,
‘0’ when others;
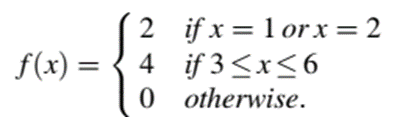
아래 함수를 VHDL로 프로그램하면 다음과 같습니다.

entity fx_function is
port( x: in integer;
y: out integer range 0 to 4);
end entity;
architecture logic_flow of fx_function is
begin
with x select
y <= 2 when 1 | 2,
4 when 3 to 6,
0 when others;
end architecture;
Generate문
VHDL의 generate는 동시 문입니다. 프로그램 세그먼트의 여러 인스턴스를 생성하는 데 사용됩니다. 생성 문에는 무조건 generate과 조건 generate라는 두 가지 다른 형식이 있습니다. 이 양식을 별도로 살펴보겠습니다.
무조건 generate
이름에서 알 수 있듯이 무조건 생성에는 조건부 부분이 없습니다. 구문은 다음과 같습니다.
Label : for parameter in number -- range generate
[declarative part
begin]
Statements
end generate[Label] ;
Label의 사용은 generate 문에서 필수이며, 단어 begin은 generate 문에서 선언적 부분을 사용할 수 있는 경우에 사용됩니다.
다음은 generate문의 예제입니다.
Label 1 : for indx in 0 to 3 generate
y(indx) <= x(indx) xor x(indx + 1)
end generate;
위의 generate문을 다음과 같습니다.
y(0) <= x(0) xor x(1);
y(1) <= x(1) xor x(2);
y(2) <= x(2) xor x(3);
y(3) <= x(3) xor x(4);
다음 VHDL 문을 사용하여 벡터 x의 내용을 뒤집을 수 있습니다. 여기서 x, y는 8비트 벡터입니다.
entity reverse_vector is
port( x_vec: in bit_vector(7 downto 0);
y_rvec: out bit_vector(7 downto 0));
end entity;
architecture logic_flow of reverse_vector is
begin
reverse: for indx in 0 to 7 generate
y_rvec(indx)<=x_vec(7-indx);
end generate;
end architecture;
조건 generate
조건 generate의 구문은 다음과 같습니다.
Label : if condition generate
[declarative_part
begin]
Statement
end generate[Label];
상수 양의 정수를 확인하고 짝수인지 홀수인지 감지하는 VHDL 문을 조건 generate로 작성하면 다음과 같습니다.
entity even_odd_detector is
port( EvenFlag: out bit);
end entity;
architecture logic_flow of even_odd_detector is
constant number: positive:=10001; -- 31-bit positive integer
begin
EvenDetector: if ((number mod 2)=0) generate
EvenFlag<=1;
end generate;
OddDetector: if ((number mod 2)=1) generate
EvenFlag<=0;
end generate;
end architecture;
'프로그래밍 언어 > VHDL' 카테고리의 다른 글
| [VHDL 학습] VHDL 연산자 (0) | 2022.03.24 |
|---|---|
| [VHDL 학습] Architecture (0) | 2022.03.23 |
| [VHDL 학습] 입력/출력 포트에서 사용되는 데이터 유형 (0) | 2022.03.22 |
| [VHDL 학습] Entity (0) | 2022.03.21 |